ADC等生物大分子药物近年来飞速发展,销量和新品开发逐年攀升。传统方法在研究生物大分子的PKPD方面有一定局限性,放射性核素标记可以弥补传统研究方法的不足之处。125I、99mTc、68Ga、89Zr等放射性核素是标记生物大分子理想的核素。一方面,相对其他核素(3H、14C等),这些核素的半衰期及衰变方式较为理想,另一方面是标记制备技术相对较为简单且日趋成熟。
ADC药物兼具抗体药和小分子的优点,利用抗体的良好靶向性把小分子药物运输到疾病部分,然后释放小分子,使其在局部形成高浓度达到治疗目的,同时又降低了肝肾等代谢器官的负担。
利用江苏华景分子影像与药物研究院有限公司先进的 Micro-PET/CT和 Micro-SPECT/CT,可以对标记的生物大分子药物进行实时动态活体跟踪。了解药物的组织分布、迁移归巢和代谢情况,达到无创、高效的研究效果。

如图:药物经过同位素标记,Micro-PET/CT扫描可观察药物在同一只动物体内,不同脏器靶向分布,并进行定量分析。

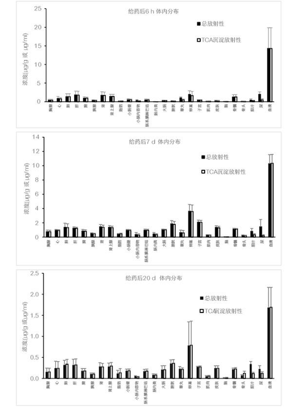
如图:食蟹猴皮下给予125I 标记蛋白后6h,7d,20d各组织总放射性与 TCA 沉淀放射性水平。